Нормативные величины
Нормативные акты используют два показателя: напор и давление. Эти характеристики имеют разные единицы измерения, но по своей сути тождественны друг другу.
Напор в водопроводе измеряется величиной водяного столба в метрах. Численное значение указывает на какую высоту поднимется вода. Водяной столб высотой 10 метров и диаметром 1 см2 в нижней точке оказывает давление на поверхность. Данное давление принимается за стандартную единицу измерения и обозначается 1кгс/см2. Кстати, объем такого водяного столба будет 1000 см2 или 1 литр, который весит 1 килограмм. Такая система измерения применяется на территории России.
По международной системе единиц давление измеряется в Паскалях. В зарубежных странах применяются свои единицы измерения, например Бар и psi. Поэтому импортное оборудование характеризуется в этих величинах. 1 Бар равен 10,1972 метра водяного столба или 10 МПа. Отсюда 1кгс/см2 равен 1,0197 Бар.
Еще одной измерительной величиной служит атмосферное давление. 1 атм. равна 0,9678 кгс/см2 или 0,9869 Бар. На практике, учитывая малую величину разницы и для удобства пересчета, 1 Бар приравнивают к 1 кгс/см2 или 1 атмосфере.
Система водоснабжения представляет следующую технологическую последовательность:
- станция подъема воды из источника;
- водоочистные сооружения;
- насосная станция, подающая воду в магистральные сети;
- промежуточные станции, регулирующие давление в магистралях крупных городов, а так же при наличии значительных перепадов высот на местности;
- присоединяемые здания и объекты, потребители воды.
Напор в городской магистрали должен быть не более 60 метров или 6 кгс/см2. Этой величины достаточно для обеспечения водой зданий до 10 этажей, без установки дополнительных насосов в доме. Если присоединенные здания меньшей этажности, давление в водопроводе может быть снижено до величины, необходимой для соблюдения норматива в квартирах верхних этажей.
Напор в водопроводной сети свыше 6 кгс/см2 не применяется, поскольку это может привести к повреждению сетей и сантехнического оборудования внутри зданий и других присоединенных объектов.
В зданиях выше 10 этажей, а так же где нормативные величины на верхних этажах невозможно обеспечить, устанавливаются повышающие регулируемые насосы. В высотных зданиях от 20 этажей и выше, внутридомовая система водоснабжения разделяется на верхний и нижний контур. У каждого контура своя насосная станция, обеспечивающая необходимый напор в трубах водопровода. Давление в в трубах водопровода может достигать 9 кгс/см2 в первом контуре и до 14 кгс/см2 во втором. В зданиях с повышающими насосами, обязательно в помещении каждого потребителя устанавливаются регулирующие редукторы, для защиты внутриквартирного оборудования и сети.
В водоразборной точке у потребителя нормируемая величина давления воды должна быть не менее 0,3 кгс/см2 для холодной и горячей воды. И не более 6 кгс/см2 для холодной и 4,5 кгс/см2 для горячей воды. Это требование едино для многоквартирных домов и частного строения.
Такая большая разница определена с учетом многоэтажных зданий. Чем выше дом, тем большее давление в трубах водопровода необходимо создать для подъема воды на верхние этажи.
4 метра на каждый этаж добавляется с учетом потерь в трубопроводе, при движении воды, около 1 метра на этаж.
| Норматив | Величина | Основание |
| Свободный напор в наружной сети хозяйственно-питьевого водопровода не должен превышать, м (кгс/см2) | 60
(6,0) |
СП 31.13330.2012
(СНиП 2.04.02-84*) п. 5.13 |
| Минимальный свободный напор в здании, м (кгс/см2) | 10+4 х эт.
(1+0,4 х эт.) |
СП 31.13330.2012
(СНиП 2.04.02-84*) п. 5.11 |
| Давление в точке разбора ХВС, кгс/см2 | от 0,3 до 6,0 | ПП РФ № 354, п.3 приложения 1 |
| Давление в точке разбора ГВС, кгс/см2 | от 0,3 до 4,5 | ПП РФ № 354, п.7 приложения 1 |
| Рекомендуемое давление, кгс/см2 | от 1,0 до 3,0 | Сложившаяся практика |
Почему давление в водопроводе бывает слабым?
Низкое давление воды в водопроводе доставляет неудобства при пользовании многими бытовыми приборами и не дает совершать водные процедуры с использованием душа.
Низкое давление, или слабый напор воды, если говорить народным языком, может возникнуть в водопроводной системе в следующих случаях:
Увеличенный забор воды на линии. Это наблюдается в большей степени летом и осенью, когда начинается пора садово-огородных работ и заготовки запасов на зиму, поскольку у некоторых горожан, особенно в провинции, земельные наделы могут быть устроены непосредственно во дворах многоквартирных домов.
Неисправность насоса. На распределительной станции может выйти из строя насос, в результате темпы подачи воды многократно снизятся.
Нехватка электричества на насосной станции. Наверняка жители многоквартирных домов замечали, что при отключении электроэнергии перестает подаваться и вода.
Засорение водопроводных труб. Возможно, в систему попала окалина и прочий мусор, закупоривший внутреннее сечение.
Утечка воды. Из-за прорыва трубопровода давление в системе резко падает и не восстанавливается вплоть до устранения аварии.
Несколько проблем одновременно. Беда не приходит одна. Причины могут пересечься в самый неподходящий момент.
Определение понятия напора
Форма характеристик насоса. Различная крутизна при идентичном корпусе и рабочем колесе насосов (например, в зависимости от частоты вращения мотора)
Различное изменение подачи и давления
Напор насоса (H)
— удельная механическая работа, передаваемая насосом перекачиваемой жидкости .
H=E/G
E
= механическая энергияG = вес перекачиваемой жидкости
Напор, создаваемый насосом , и расход перекачиваемой жидкости (подача) зависят друг от друга. Эта зависимость отображается графически в виде характеристики насоса. Вертикальная ось (ось ординат) отражает напор насоса (H), выраженный в метрах . Возможны также другие масштабы шкалы напора. При этом действительны следующие соотношения: 10 м в.ст. = 1 бар = 100 000 Па = 100 кПа Горизонтальная ось (ось абсцисс) нанесена шкала подачи насоса (Q), выраженной в кубометрах в час [м3/ч]. Возможны также другие масштабы шкалы подачи, например [л/с].
Форма характеристики показывает следующие виды зависимости: энергия электропривода (с учетом общего КПД) преобразуется в насосе в такие формы гидравлической энергии, как давление и скорость. Если насос работает при закрытом клапане, он создает максимальное давление. В этом случае говорят о напоре насоса Hо при нулевой подаче. Когда клапан начинает медленно открываться, перекачиваемая среда приходит в движение. За счет этого часть энергии привода преобразуется в кинетическую энергию жидкости. Поддержание первоначального давления становится невозможным. Характеристика насоса приобретает форму падающей кривой. Теоретически характеристика насоса пересекается с осью подачи. Тогда вода обладает только кинетической энергией, то есть давление уже не создается. Однако, так как в системе трубопроводов всегда имеет место внутреннее сопротивление, в реальности характеристики насосов обрываются до того, как будет достигнута ось подачи.
Мощность погружного насоса и его КПД
Номинальный КПД электродвигателя центробежного насоса для водоснабжения – это отношение полезной мощности к той, что потребляется. Обозначение – η. Формула распределения: η = (Р2/Р1) * 100. КПД электродвигателя никогда не будет выше единицы (100%) ни при каких обстоятельствах, так как «вечного двигателя» не существует, а любые приводы имеют потери.
КПД — так именуется отношение гидравлики к мощности, которая подведена на валу скважинного устройства, а их разность сообщает о потерях в агрегате. Формула: η = (Р4/Р3) * 100.
Утрата мощности в центробежном насосном устройстве также получается из ряда составляющих, а именно:
- Гидравлические;
- Механические;
- Объёмные потери Рvнас.

Погружные насосы для дачи можно купить в любом специализированном магазине Общий КПД представляет собой сумму КПД всех потерь. КПД устройства характеризует степень совершенства конструкции в плане механики и гидравлики.
Может ли монтаж повлиять на величину напора
Учитывая простоту, даже примитивность конструкции насосов, а также наличие подробной инструкции монтажа, многие современные мужчины берутся за работы самостоятельно, то есть без помощи профессионалов. Такое поведение чаще всего связано с желанием сэкономить: далеко не все готовы заплатить не только за насос или насосную станцию, но и услуги мастера. Учитывая, что напор насоса — это основная характеристика его деятельности, никто не готов терять. Именно поэтому вопрос напрашивается сам собой: насколько монтаж, проведённый самостоятельно может сказаться на величине напора.

Казалось бы, подключаем одну трубу к всасывающему патрубку, другую к тому, что отвечает за напор, подаем питание — и готово. На практике малейшая ошибка не только способна негативно сказаться на напоре воды, но и существенно сократит продолжительность работы.
Напор погружного насоса

Именно поэтому одним из самых безопасных и надежных считается именно погружной насос. Напор его исчисляется по формуле:
H = H высота + H потери + H излив, где:
H высота — перепад высот между местом нахождения насоса и наивысшей точкой системы водоснабжения;
H потери — возможные гидравлические потери, которые возникают при движении жидкость по трубе, они в первую очередь связаны с трением жидкости о стенки трубы;
H излив — тот напор на излив, который позволяет пользоваться всеми сантехническими приборами (обычно находится в диапазоне 15-20 метров).
Мы уже установили, что напор насоса — это давление, необходимое для того, чтобы протолкнуть жидкость на заданную высоту. Циркуляционные насосы нашли себя в системах отопления, именно с их помощью обеспечивается бесперебойная циркуляция источника тепла в системе
Конечно, к выбору циркуляционного насоса необходимо подойти более осознанно и требовательно, понимая, что от этого во многом зависит эффективность и бесперебойность его использования, что так важно для многоквартирных домов. Такие насосы надежны, эффективны и отлично показали себя даже в многоквартирных домах. Безусловно, такой насос также должен подбираться исходя из напора
Напор циркуляционного насоса не имеет никакой связи, а, соответственно, зависимости от высоты здания. Главное здесь — гидравлическое сопротивление трассы. И вот тут для расчета потребуется следующая формула:
Безусловно, такой насос также должен подбираться исходя из напора. Напор циркуляционного насоса не имеет никакой связи, а, соответственно, зависимости от высоты здания. Главное здесь — гидравлическое сопротивление трассы. И вот тут для расчета потребуется следующая формула:
H = (R * L + Z сумма) / (p * g), где:
R — потери;
L — протяженность трубопровода, измеряющаяся в метрах;
Z сумма — суммарное число коэффициентом запаса для конструктивных элементов трубопровода (для фитингов и арматуры эта величина равна 1,3; для термостатических вентилей — 1,7; а для смесителей — 1,2);
р — плотность воды, из школьного курса физики мы помним, что она составляет 1000 кг/м3;
g — ускорение свободного падения, величина которого берется в среднем значении — 9,8 м/с2.

Получается, зная все основные параметры определить тот напор воды, который необходим вам в конкретной ситуации, довольно просто, для этого вам не придется привлекать специалистов.
Снабжение чистой водой:
– ;
– ;
–
Вибрационные
Обладают скромными возможностями по производительности и максимальной высоте подъёма.
Но благодаря простоте, нетребовательности к качеству воды и небольшой цене стоят на первом месте.
Из недостатков: недолговечен, режим работы – непродолжительный, с перерывами. Обусловлено принципом работы.
От установки в скважины целесообразно воздерживаться. При работе из-за вибрации могут деформироваться и разрушаться стенки скважины.
Рекомендуются для подачи воды из колодцев, емкостей и открытых водоемов.
Глубина погружения под зеркало воды – не более 3 метров. Максимальная высота подъёма – регламентируется до 40 метров.
Варианты поставки длины кабеля – 10, 15, 25, 40 метров.

Колодезные
Рассчитаны на работу с чистой водой, без значительных примесей. В связи с этим они «подвешиваются» на некотором расстоянии от дна, чтобы не допустить
попадания придонного ила. Глубины применения колодезников от 8 метров до 20 м, при которых применение поверхностного насоса невозможно.
Конструктивно колодезный – такой же погружной с поплавковым выключателем или электронной системой включения-отключения при подъёме уровня воды или его падении.

Колодезный насос для подачи воды из водоёма. Подвешивается
на некотором расстоянии от дна, чтобы не допустить
попадания придонного ила.

Колодезный насос для откачки воды из накопительного резервуара. пример 1.

Колодезный насос для подачи воды из накопительного резервуара. пример 2
Скважинные
Используются для подъема воды из скважин, у которых устойчивый уровень зеркала заметно ниже уровня земли. Скважины обычно бурят небольшого диаметра, с этим связана
цилиндрическая вытянутая форма насосов.
Диаметр скважинников был обусловлен минимально возможными размерами, в которых удалось разместить насосную часть и двигатель. Исторически это был диаметр 6 и 4″.
В последние годы набирают популярность скважинные насосы диаметрами 3,5″, 3″ и даже 2″.
А скважина бурится диаметром на 1-2 см больше диаметра насоса для предотвращения затруднений при опускании и подъёме.
Низкое залегание воды, требует от скважинного насоса создать значительный напор, поэтому применяется только многоступенчатая конструкция. Режим работы – продолжительный.
Скважинные центробежные имеют до 10-30 ступеней с рабочими колёсами. Обычно каждая ступень создаёт напор не менее 5 метров водяного столба.
Рабочие колеса имеют свободный вертикальный «плавающий» ход (так называемую «водяную смазку»), который позволяет уменьшить их износ при содержании песка в воде. Вместе с тем, для увеличения срока службы насоса следует принимать меры, исключающие попадание в него песка.
Скважинные винтовые по стоимости стоят на втором месте после вибрационных. Создавая ощутимый напор при небольшой производительности, оптимальны в автономном водоснабжении индивидуальных домов, поливе садовых участков, наполнении различных резервуаров. Для подачи чистой пресной воды из колодцев, резервуаров, скважин диаметром не менее 85 мм.

Рабочий элемент – винт в резиновой обойме, которая при абразивном составе примесей в воде может достаточно быстро разрушиться. Однако, дешевизна и простота замены обоймы в сборе с винтом – оказывается существенным аргументом в пользу выбора винтового насоса.
Чем опасен чрезмерно сильный напор
Бытовые сантехнические приборы, краны, смесители, душевые шланги, гибкая подводка, бытовое оборудование рассчитаны на определенное рабочее давление в водопроводе. В нашей стране это 6 кгс/см2. Но даже напор в 6 кгс/см2 может повредить бытовые приборы, не говоря о случаях превышения этой величины.
Высокое давление разрушает слабые элементы и происходит затопление. При заливах водой страдает имущество, отделка помещений, возможно короткое замыкание. К еще большему ущербу приводят повреждения горячего водопровода.
При повышенном давлении могут образовываться свищи в изношенных трубах, либо течи по резьбовым соединениям. Длительное подкапывание воды повреждает отделку и конструкции зданий.
Большую опасность представляют гидравлические удары, образующиеся при резком перепаде давления. Тогда напор в трубах водопровода на короткое время может увеличиться. Но этого может оказаться достаточно, что бы привести к разрыву изношенных частей водопровода.
Во избежание подобных опасностей, следует выбирать наименьшие величины давления воды, достаточные для нормальной работы бытовых приборов.
Какое давление в водопроводе является нормой
Давление воды в водопроводе измеряется в барах, но иногда эту величину обозначают в атмосферных единицах. Для наглядности, под действием давления в 1 бар, вода может подниматься на высоту до 10 метров. Если переводить их в атмосферы, то 1 бар равен 1,0197 атмосфер.
В городах, давление воды в системе водоснабжение составляет 4 атмосферы. Этого достаточно чтобы обеспечивать многоэтажные дома. Диапазон устанавливается по специальным документам и СНиПам. Для холодной воды эти показатели составляют от 0.3 до 6 бар, а для горячей – до 4,5.
Что касается владельцев частных домов, то им нужно рассчитывать эти показатели самостоятельно. Если в доме установлена автономная система, она повышает давление до 10 бар. Однако для работы бытовых приборов и всех точек подачи воды, в частном доме достаточно 1,5-3 бар. Такие показатели давления доступны большинству насосных станций. Нельзя сильно превышать этот диапазон. В противном случае, подключенные приборы будут работать некорректно, и быстро выходить из строя. Максимально допустимое давление воды в системе частного дома – 6,5 бар.
Давление в 10 бар может выдержать только специализированное оборудование, устанавливаемое на артезианских скважинах. Обычные соединительные узлы и перемычки для коттеджей не смогут выдерживать такие нагрузки, и дадут течь.
Стоит учитывать установленные показатели давления на определенные устройства. Без соблюдения этих показателей, они не буду работать:
- стиральная машина – 2 бар;
- система пожаробезопасности – 1,5 бар;
- джакузи – 4 бар;
- полив газонов – 4-6 бар;
- смеситель в ванне и душевой кабинке – минимум 0.3 бар.
По мнению большинства владельцев своих домов, отметка в 4 бар, является самой оптимальной для обеспечения всех точек потребления воды. В это же время, оно не является критическим для фитингов и различных соединительных узлов. Далее вы узнаете, как измерить давление воды, чтобы составить план дальнейших действий.
Мембранные устройства
Мембранный насос – это относительно новый вид оборудования для перекачивания жидкостей и прочих веществ. Данный тип оборудования способен работать с газообразной средой и делает это за счет специальной мембранный или диафрагмы. Она совершает возвратно-поступательные движения и с заданной цикличностью меняет объем рабочей камеры.

Конструкция устройства включает:
- мембрану;
- рабочую камеру;
- шток для соединения диафрагмы с валом привода;
- кривошипно — шатунный механизм;
- клапаны для защиты от поступления вещества назад;
- входной и выходной патрубок.
Работа осуществляется следующим образом: при запуске шток выгибает мембрану, что увеличивает объем камеры и создает в ней эффект вакуума. Это явление обеспечивает всасывание перекачиваемой среды. После заполнения камеры шток возвращает мембрану на место, объем резко уменьшается, и вещество выталкивается через выходной патрубок. При этом для того, чтобы жидкость или газ не попали обратно в момент возвратного движения, вход автоматически перекрывается специальным клапаном.
Существуют модели с двумя клапанами, расположенными параллельно друг другу. Здесь процесс осуществляется аналогично, только рабочих камеры две, и при каждом движении из одного вода выходит, а в другой входит. Такие устройства считаются более эффективными.
Преимущества мембранных насосов:
- могут работать с любой средой;
- небольшой размер;
- тихая работа;
- отсутствие вибрации;
- простота и надежность конструкции;
- экономичность по энергопотреблению;
- поддержание высокой чистоты перекачиваемого вещества;
- невысокая цена;
- длительный срок службы;
- не требуют особого или частого ухода, им не нужна смазка;
- заменить испорченные детали сможет человек без специального образования;
- обладают высокой универсальностью.
При таком обилии плюсов существенных минусов не выявлено.
Мембранный насос широко применяется в медицине и фармацевтике, в фермерских хозяйствах (в доильных аппаратах). Их используют для производства продуктов питания, в атомной сфере. С их помощью делают насосы-дозаторы для использования на производстве лаков и красок, они применяются в полиграфии и в различных местах, где есть потребность работы с ядовитыми и опасными веществами. Работать с последними можно безопасно, так как мембранные насосы имеют высокую герметичность.
Сколько должна быть норма для квартиры и частного дома?
Для различных типов строения подача воды разная, тоже касается холодной и горячей воды
Для многоквартирных домов важно настроить напор так, чтобы вся сантехника и колонки могли работать на последнем этаже. Нормой давления за каждый дополнительный этаж является 0,4 бар, поток должен быть увеличен на каждые 4 метра строения
Таким образом, в квартире должно быть давление равное 3-4 баррелям, если показатель ниже, то не будет работать сантехника, выше — также будут проблемы (например, многие стиральные машины работают только при напоре в 3 бар.).
Для расчета общего показателя напора воды в многоквартирном доме используется форма расчета, например, для пятиэтажного здания расчет давления подаваемой воды производится следующим образом:
10+(4*5)=30 атмосфер или метров, где:
- 10— минимальный показатель напора воды, который подается на 1 этаж;
- 4— условная или стандартная высота этажа;
- 5— количество этажей в здании.
Минимальным, утвержденным значением по стандартам строительных требований и СанПин, для пятиэтажного дома будет показатель в 30 атмосфер.
Для частного жилья, не повышающего высоту в 10 метров, напор в трубах должен быть равен от 1 атмосферной единицы до 3-х. При превышении 10-метровой отметки минимальное значение устанавливается на уровне в 2 атмосферы. Напор воды может быть различным для холодной и горячей воды.
Для холодной
Максимальное значение давления в трубах для холодной 6 атмосфер. Для бытовых потребностей достаточно поддерживать давление в контуре не более 3 атмосфер. При отсутствии достаточного напора, особенно в частных домах в летний период поливов, многие частники устанавливают насосы, которые при включении создают поток нужного напора.
Для горячей
Максимальный показатель для горячей воды в многоквартирном доме равен 4,5 атмосферы. Для частного дома вода подается холодной, ее обогрев осуществляет внутренняя колонка.
Что касается напора
Этот немаловажный фактор, от которого зависит возможность скважинного насоса поднимать воду на заданную высоту от точки забора и транспортировать её без перебоев по всей длине трубопровода.
Для того чтобы провести расчёт напора для центробежного или вибрационного скважинного насоса, необходимо выяснить глубину расположения насоса (глубину водозабора). Она определяется от поверхности земли (горизонтального трубопровода) до точки погружения/расположения агрегата
Кроме того, необходимо принимать во внимание и длину всего трубопровода от начальной горизонтальной точки до распределителя системы водоснабжения
Причины слабого и избыточного напора
Чаще всего снижение напора воды происходит из-за естественного износа трубопровода. К тому же, если для его прокладки использовались металлические трубы, то со временем напор будет снижаться из-за коррозии.
Проблема может также заключаться в наличии известкового налета на стенках труб. Он появляется из-за слишком жесткой воды.
Причинами слабого напора также являются:
- Не соответствующая параметрам системы напорная установка. Очень часто в системах автономного водоснабжения воду приходится поднимать с расположенных достаточно глубоко водоносных слоев.
Затем доводить до потребителей, находящихся на большом расстоянии от станции, да еще и на разной высоте. Если мощность насосов не соответствует этой ситуации, напор будет слабым.
- Низкий ресурс самой скважины, из которой берут воду. Даже, если изначально все было нормально, источник постепенно опустошается, и давление снижается.
- Появление новых точек водозабора, которые могут работать одновременно – например, приобретают еще посудомоечную машину или ванну с гидромассажм. Если в проекте их появление учтено не было, то теперь придется его переделывать, возможно, покупать дополнительное оборудование.
В случае избыточного напора воды возможны два варианта – либо оборудование было подобрано со слишком большим запасом по мощности, либо внутри системы есть воздушная пробка.
Рабочий процесс лопастного насоса
Момент сил сопротивления относительно оси противодействует вращению рабочего колеса, поэтому лопатки профилируют, учитывая величину подачи, частоту вращения, направление движения жидкости.
Преодолевая момент, рабочее колесо совершает работу. Основная часть, подведенная к колесу энергии, передается жидкости, и часть энергии теряется при преодолении сопротивлений.
Если неподвижную систему координат связать с корпусом насоса, а подвижную систему координат с рабочим колесом, то траектория абсолютного движения частиц будет складываться из вращения (переносного движения) рабочего колеса и относительного движения в подвижной системе по лопаткам.
Абсолютная скорость равна векторной сумме переносной скорости U
— скорости вращения частицы с рабочим колесом и относительной скоростиW движение по лопатке относительно подвижной системы координат, связанной с вращающимся колесом.
На рис. 15.2 штрих-пунктирной линией изображена траектория частицы от входа и до выхода из насоса в относительном движении – АВ, траектории переносного движения совпадают с окружностями на радиусах колеса, например на радиусах R1иR2. Траектории частиц в абсолютном движении от входа в насос до выхода – АС.Движение подвижной системы –относительное, в подвижной – переносное.
Параллелограммы скоростей для входа в рабочее колесо и выхода из него:

(15.5)
где i= 1,2.
Сумма относительной скорости W
и переноснойU даст абсолютную скоростьV . Параллелограммы скоростей на рис. 15.2 показывают, что момент скорости частицы жидкости на выходе из рабочего колеса больше, чем на входе:
V2Cosα2R2 >V1Cosα1R1 Следовательно, при прохождении через колесо момент количества движения
увеличивается. Возрастание момента количества движения вызвано моментом сил, с которыми рабочее колесо действует на находящуюся в нем жидкость.

Для установившегося движения жидкости разность моментов количества движения жидкости, выходящей из канала и входящей в него за единицу времени, равна моменту внешних сил, с которыми рабочее колесо действует на жидкость.
Момент сил, с которыми рабочее колесо действует на жидкость, равен:
М=Qρ(V2Cosα2R2 —V1Cosα1R1), гдеQ- расход жидкости через рабочее колесо.
Умножим обе части этого уравнения на угловую скорость рабочего колеса ω.
Мω=Qρ(V2Cosα2R2ω —V1Cosα1R1ω), Произведение Мω
называется гидравлической мощностью, или работой которую производит рабочее колесо в единицу времени, воздействуя на находящуюся в нем жидкость.
Из уравнения Бернулли известно, что удельная энергия,
передаваемая единице веса жидкости, называется напором. В уравнении Бернулли, источником энергии для движения жидкости была разность напоров.
При использовании насоса энергия или напор передается жидкости рабочим колесом насоса.
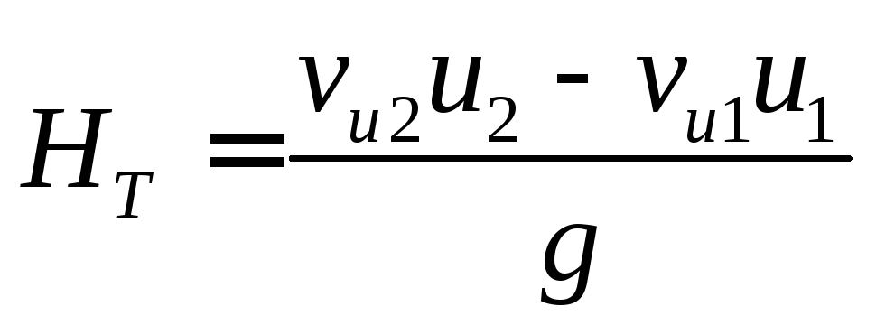
Теоретическим напором рабочего колеса — НТ
называется удельная энергия, передаваемая единице веса жидкости рабочим колесом насоса.
N
=Мω=HТ*Qρg Учитывая, что u1=R1ω
— переносная (окружная) скорость рабочего колеса на входе иu2=R2ω — скорость рабочего колеса на выходе и что проекции векторов абсолютных скоростей на направление переносной скорости (перпендикулярной к радиусамR1 иR2) равныVu2 =V2Cosα2 иVu1 =V1Cosα1 , гдеVu2 иVu1 , получим теоретический напор в виде
HТ*Qρg =Qρ(V2Cosα2R2ω —V1Cosα1R1ω), откуда

(15.6) Фактический напор насоса

меньше теоретического напора поскольку в нем взяты реальные значения скоростей и давлений.
Лопастные насосы бывают одноступенчатыми и многоступенчатыми. В одноступенчатых насосах жидкость проходит через рабочее колесо однократно (см. рис. 15.1). Напор таких насосов при заданной частоте вращения ограничен. Для повышения напора применяют многоступенчатые насосы, у которых имеется несколько последовательно соединенных рабочих колес, закрепленных на одном валу. Напор насоса повышается пропорционально числу колес.
Лопастной насос может работать при разных режимах, т. е. при разных подачах и частотах вращения.
Прикрывая задвижку, установленную на напорном трубопроводе насоса, уменьшают подачу. При этом также изменяется напор, развиваемый насосом. Для эксплуатации насоса необходимо знать, как изменяется напор, КПД и мощность, потребляемая насосом, при изменении его подачи, т. е. знать характеристику насоса, под которой понимается зависимость напора, мощности и КПД насоса от его подачи при постоянной частоте вращения (рис. 15.3).

Режим работы насоса, при котором его КПД имеет максимальное значение, называется оптимальным.
Заключение
«Гидравлике» на
конкретном методическом примере расчёта
объёмного гидропривода показано, что
для выбора необходимых устройств (насос,
гидродвигатели, гидроаппараты, фильтр,
кондиционеры рабочей жидкости, гидролинии
и их элементы, электродвигатель) и
эффективной работы гидропривода
необходимо произвести расчёт
Очень
важно не допускать ошибок в вычислениях
и единицах измерения, т.к. при ошибке
можно выбрать такое устройство, которое
в процессе эксплуатации гидропривода
не будет удовлетворять требованиям,
предъявляемым к агрегату в целом.
Результаты выполненной работы позволяют
сделать вывод о достаточной точности
выполнения расчётов и выбора
гидроаппаратуры





